Stunner AF|LNP 一站式品質分析
粒徑、EE%、RNA 濃度、顆粒濃度單次取得,2 µL 樣品、2 小時、44 個樣品
LNP 脂質奈米粒子全方位分析平台
Stunner AF 是 Unchained Labs 專為脂質奈米粒子(Lipid Nanoparticle, LNP)分析設計的整合型平台。在原有 Stunner 的 UV/Vis 光譜與「Dynamic Light Scattering」(DLS)技術基礎上,Stunner AF 新增螢光偵測模組,可搭配 RiboGreen 等核酸敏感染劑檢測游離態(Free form)核酸濃度。結合 UV/Vis 測得的總核酸濃度,即可一步計算出「Encapsulation Efficiency」(EE%),實現單次量測取得完整 LNP 品質數據。
Stunner AF 結合三大核心技術,針對 mRNA 藥物、mRNA 疫苗與基因治療載體的開發需求,提供從配方篩選到品質管控的全方位解決方案。

核心量測參數
Sizing & Polydispersity
透過「Rotating Angle DLS」(RADLS)多角度動態光散射技術,精準測量 LNP 的「Hydrodynamic Diameter」與「Polydispersity Index」(PDI),確認粒徑分布是否符合配方設計要求。
Encapsulation Efficiency
結合螢光偵測測量「Free RNA」與 UV/Vis 測量「Total RNA」,自動計算「Encapsulation Efficiency」(EE%),無需添加界面活性劑即可完成分析。
Particle Concentration
整合「Static Light Scattering」(SLS)數據,計算樣品中 LNP 的「Particle Concentration」,可比較不同批次或配方條件的產量差異。
Aggregation Detection
RADLS 技術對大顆粒與聚集體具有高靈敏度,可及早發現樣品品質異常,透過「Intensity Distribution」與「Mass Distribution」切換分析聚集程度。

Stunner AF 螢光偵測模組
Stunner AF 的「AF」代表「Add Fluorescence」,在標準 Stunner 配置上新增雙通道螢光偵測功能,專為核酸敏感型染劑設計,可精準定量樣品中游離狀態的 RNA 或 DNA。
Fluorescence Channels
| Channel | Excitation | Emission | 適用染劑 |
|---|---|---|---|
| Blue/Green | 475 nm LED | 515–565 nm | RiboGreen、PicoGreen |
| Red/Far Red | 624 nm LED | 672–712 nm | 其他遠紅光染劑 |
Free RNA 定量原理
螢光偵測模組搭配 RiboGreen 等核酸敏感染劑使用。由於 LNP 的脂質雙層會阻隔染劑進入粒子內部,因此只有游離在溶液中的「Free RNA」會與染劑結合產生螢光訊號。透過標準曲線比對,即可精準定量 Free RNA 濃度,實驗數據顯示 12 個三重複樣品的 median %CV 為 2.7%。
UV/Vis Unmix 穿透混濁樣品
LNP 溶液通常呈現混濁狀態,會干擾傳統 UV/Vis 測量。Stunner AF 採用極短光程設計(0.1 mm 與 0.7 mm 雙光程),搭配專利「Unmix」解卷積演算法,可有效分離 RNA 吸收訊號與混濁背景,準確測量高濃度 LNP 樣品中的 Total RNA 濃度。

Encapsulation Efficiency(EE%)測量
測量原理
「Encapsulation Efficiency」(EE%)是評估 LNP 品質的關鍵指標,代表成功包覆於 LNP 內部的 RNA 佔總 RNA 的比例。Stunner AF 採用雙重定量策略:
Total RNA 定量:UV/Vis + Unmix
使用 UV/Vis 光譜測量樣品在 260 nm 處的吸光值。透過專利「Unmix」解卷積演算法,可將 RNA 的吸收訊號從脂質、膽固醇與混濁背景中分離出來,無需添加界面活性劑破壞 LNP 結構即可測得總 RNA 濃度。實驗數據顯示 payload concentration 的 median %CV 為 0.6%。
Free RNA 定量:Fluorescence
將樣品與 RiboGreen 染劑混合後進行螢光量測,透過 6 點標準曲線以「4-parameter fit」計算游離 RNA 濃度。由於染劑無法穿透 LNP 脂質層,測得的螢光訊號僅來自未被包覆的 Free RNA。
EE% = (Total RNA − Free RNA) / Total RNA × 100%

與傳統方法比對
Stunner AF 與傳統螢光盤讀機的 EE% 測量結果進行比對,以三種 LNP 配方(SM-102、MC3、Cationic LNP)及兩種 Free RNA spike-in 條件進行驗證,兩種方法的結果差異在 4 個百分點以內,均顯示包覆效率大於 90%。
LNP Sizing & Quant in One Shot
RADLS 多角度動態光散射
Stunner AF 配備「Rotating Angle Dynamic Light Scattering」(RADLS)技術,透過旋轉偵測器在單次實驗中從多個角度(5–30 個角度,範圍 30–42° 與 110–162°)收集散射光訊號。相較於傳統單角度 DLS,RADLS 對較大顆粒的粒徑測量更為準確,同時對聚集體具有更高的偵測靈敏度。
Aggregation Detection
Stunner AF 可透過「Intensity Distribution」優先檢視粒徑分布,對聚集體具有高靈敏度。若發現聚集訊號,可切換至「Mass Distribution」模式評估聚集體的實際質量佔比。例如,某樣品在強度分布中顯示聚集體佔 78% 訊號強度,但切換至質量分布後僅佔 1.7% 質量,顯示聚集體數量實際上相當有限。

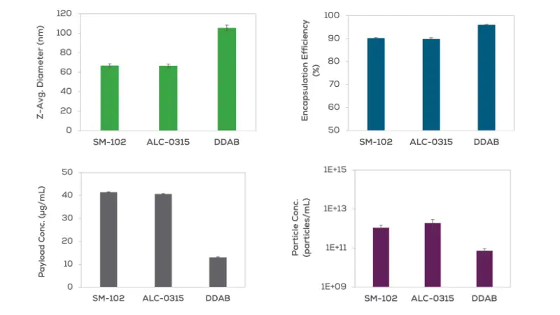
實驗數據:三種 LNP 配方比較
使用 Stunner AF 的「RNA-LNP EE」應用程式分析三種不同陽離子脂質配方:
| 配方類型 | Z-Avg. Diameter | EE% | Payload Conc. | Particle Conc. |
|---|---|---|---|---|
| SM-102(Ionizable) | ~67 nm | >90% | ~41 µg/mL | 較高 |
| ALC-0315(Ionizable) | ~67 nm | >90% | ~41 µg/mL | 較高 |
| DDAB(Cationic) | ~106 nm | >90% | ~13 µg/mL | 較低 |
Particle concentration 與平均粒徑呈反向關係:較小的 ionizable LNP 具有較高的顆粒濃度。

工作流程效率比較
傳統 LNP 分析需要使用多台儀器分別測量 EE%、粒徑與顆粒濃度,操作繁瑣且耗時。Stunner AF 將所有量測整合於單一平台,大幅縮短分析時間。
12 個樣品(三重複)分析時間比較
傳統方法
| One-by-One DLS | Hands-on: 1–2 hr | Total: >2 hr |
| Full Dye-Based EE% Assay | Hands-on: 1.5 hr | Total: 1.5 hr |
| 合計 | >2 hr | ~3 hr |
Stunner AF
| EE% & Size(一次完成) | Hands-on: 30 min | Total: 1.5 hr |
節省超過 50% 操作時間,同時獲得更完整數據
高通量篩選能力
Stunner AF 採用 96 孔微量盤設計,單盤可分析最多 44 個 LNP 樣品(含標準曲線與品管樣品),約 2 小時內完成完整分析,包含粒徑、PDI、EE%、Total/Free RNA 濃度與顆粒濃度等所有關鍵品質參數。若需更高通量,標準曲線與樣品可分佈於多個盤子,在同一實驗中進行分析。
應用文獻

LNP encapsulation efficiency, size & more from a single read on Stunner AF
本應用文獻詳細介紹如何使用 Stunner AF 在單次量測中同時獲得 LNP 的包覆效率(EE%)、粒徑、多分散性與顆粒濃度。內容涵蓋:
- Stunner AF 整合 Fluorescence、UV/Vis 與 RADLS 的技術原理
- RNA-LNP EE 應用程式的操作流程與盤面配置
- 12 個 LNP 樣品的完整分析數據展示
- 與傳統螢光盤讀機 EE% 方法的比對驗證
- 三種不同脂質配方(SM-102、ALC-0315、DDAB)的比較分析
- 標準曲線配製與樣品準備方法
Specifications
Stunner Instrument Specifications
| Dimensions | Stunner: 37 cm W × 54 cm D × 33 cm H; 30.4 kg Stunner AF: 37 cm W × 58 cm D × 33 cm H; 30 kg |
|---|---|
| Electrical | Universal input voltage 100–240 V AC, 50–60 Hz |
| Computer | Separate computer with Windows 11 included |
| Connection | USB, TCP/IP (Service) |
| Approval | CE, FCC, CSA |
| Regulatory Compliance | Optional 21CFRp11 software package; USP and Ph. Eur. Performance verification standards |
UV/Vis
| Light Source | Xenon flash lamp |
|---|---|
| Detectors | UV/Vis polychromatic spectrophotometer |
| Wavelength Range | 230–750 nm |
| Wavelength Accuracy | ≤400 nm: ±1 nm; ≥400 nm: ±2 nm |
| Spectral Resolution | Better than 2 nm (toluene in hexane) |
| Absorbance Precision (1 cm quartz cuvette) |
<1 OD: ±0.005 OD st dev; 1–2 OD: ±0.5% CV |
| Absorbance Accuracy (1 cm quartz cuvette) |
<1 OD: ±0.01 OD; 1–2 OD: ±1% |
Fluorescence (Stunner AF only)
| Channels | Blue/Green: Ex. 475 nm LED / Em. 515–565 nm Red/Far Red: Ex. 624 nm LED / Em. 672–712 nm |
|---|
DLS and Rotating Angle DLS
| Light Source | 2 × 660 nm laser diodes |
|---|---|
| Detection | Avalanche photodiode module |
| Number of Angles | 1 (DLS), 5–30 (RADLS) |
| Angular Range | 30–42° & 110–162° |
| Size Accuracy | ±2% |
| Minimum Sample Concentration | 0.1 mg/mL lysozyme |
| Hydrodynamic Diameter Range | 0.3–1000 nm |
| Particle Concentration Range | 109–5×1013 particles/mL (dependent on particle size, determined on 80 nm beads) |
Stunner Plate Specifications
| Samples per Plate | 96 (12 × 8 microplate format) |
|---|---|
| Sample Retention Time | Up to 2 hours |
| Recommended Sample Volume | 2 µL |
| Pathlength(s) | 0.1 mm & 0.7 mm path |
| Measurement Time for Full Plate | ~10 minutes for UV/Vis only ~1 hour for UV/Vis and DLS (5 × 4s × 1 angle) ~2 h 15 minutes for UV/Vis and RADLS (5 × 1s × 7 angles) |
| Measurement Range | OD 10 mm: 0.03–275 ng/µL dsDNA: 1.5–13750 mg/mL ave protein mix: 0.03–275 |
| Absorbance Precision (10 mm pathlength) |
<1 OD: ±0.01 OD st dev; 1–200 OD: ±1% CV |
| Absorbance Accuracy (10 mm pathlength) |
<1 OD: ±0.02 OD; 1–200 OD: ±2% |
常見問題
Stunner AF: The Ultimate Plate-Based LNP Characterization Platform
Stunner AF from Unchained Labs is a comprehensive lipid nanoparticle (LNP) analysis platform that integrates UV/Vis spectroscopy, rotating angle dynamic light scattering (RADLS), and fluorescence detection in a single instrument. Designed specifically for mRNA therapeutics and gene therapy applications, Stunner AF delivers complete LNP quality characterization including particle size, polydispersity index (PDI), encapsulation efficiency (EE%), total and free RNA concentration, and particle concentration from a single 2 µL sample.
The "AF" in Stunner AF stands for "Add Fluorescence," representing the dual-channel fluorescence detection module that distinguishes it from the standard Stunner platform. The Blue/Green channel (excitation 475 nm LED, emission 515-565 nm) and Red/Far Red channel (excitation 624 nm LED, emission 672-712 nm) enable precise quantification of free RNA using nucleic acid-sensitive dyes such as RiboGreen. This fluorescence-based free RNA measurement, combined with UV/Vis-based total RNA quantification using proprietary Unmix deconvolution algorithms, allows for rapid and accurate encapsulation efficiency determination without the need for surfactants or particle disruption.
RADLS technology in Stunner AF collects scattered light from multiple angles (5-30 angles spanning 30-42 degrees and 110-162 degrees) during a single measurement, providing more accurate size determination for larger particles like LNPs compared to traditional single-angle DLS. The multi-angle static light scattering (SLS) data simultaneously enables particle concentration measurements ranging from 10^9 to 5x10^13 particles/mL. This comprehensive approach to aggregate detection uses both intensity and mass distribution analysis to identify and quantify unwanted aggregates with exceptional sensitivity.
The 96-well plate format supports high-throughput screening of up to 44 LNP samples per plate, with complete characterization accomplished in approximately 2 hours. The short pathlength design (0.1 mm and 0.7 mm dual pathlengths) combined with Unmix algorithms effectively handles the turbidity challenges inherent in LNP solutions, accurately separating RNA absorbance signals from lipid, cholesterol, and scattering background contributions.
Comparative studies demonstrate that Stunner AF EE% measurements correlate within 4 percentage points of traditional fluorescent plate reader methods across multiple LNP formulations including SM-102, ALC-0315, MC3, and cationic lipid compositions. The platform significantly reduces hands-on time from over 2 hours to approximately 30 minutes for 12 samples while simultaneously providing sizing data that would otherwise require separate DLS measurements.
Stunner AF supports regulatory compliance with optional 21 CFR Part 11 software packages for electronic signatures and audit trails, along with USP and Ph. Eur. performance verification standards. The platform runs on Windows 11 with universal voltage input (100-240 V AC, 50-60 Hz) and carries CE, FCC, and CSA certifications. For researchers developing mRNA vaccines, gene therapies, and other nucleic acid-based therapeutics, Stunner AF provides the comprehensive, high-throughput LNP characterization capabilities essential for efficient formulation development, process optimization, and quality control.
